|
水处理
来源:财政部
时间:2025-12-03
12月1日,财政部发布财政部关于提前下达2026年水污染防治资金预算的通知。
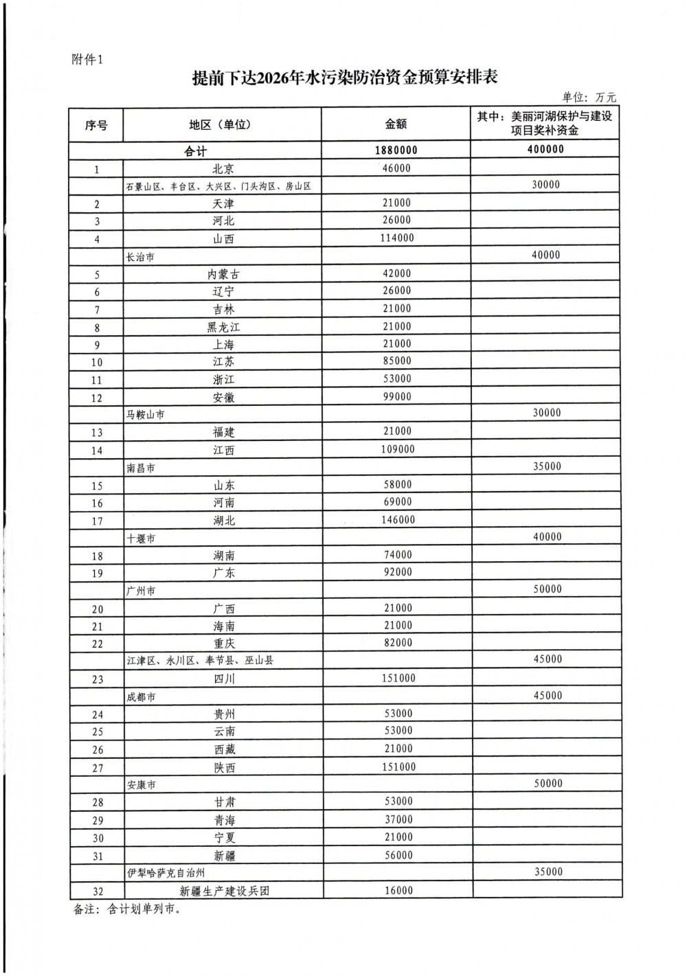
根据通知内容显示,2026年度合计下达大气污染防治资金1880000万,其中北京46000万、天津21000万、河北26000万、山西114000万、内蒙古42000万、辽宁26000万、吉林21000万、黑龙江21000万、上海21000万、江苏85000万、浙江53000万、安徽99000万、福建21000万、江西109000万、山东58000万、河南69000万、湖北146000万、湖南74000万、广东92000万、广西21000万、海南21000万、重庆82000万、四川151000万、贵州53000万、云南53000万、西藏21000万、陕西151000万、甘肃53000万、青海37000万、宁夏21000万、新疆56000万、新疆生产建设兵团16000万。
原文如下:
财政部关于提前下达2026年水污染防治资金预算的通知
财资环〔2025〕146号
各省、自治区、直辖市财政厅(局),新疆生产建设兵团财政局:
为支持水污染防治工作,促进水环境质量改善,现下达你省(自治区、直辖市、新疆生产建设兵团,以下统称省)2026年水污染防治资金,用于支持水污染防治和水生态环境保护方面相关工作,并就有关事项通知如下:
一、各省金额安排详见附件,项目支出列2026年政府收支分类科目“21103 污染防治”,项目代码:10000015Z155110010004。
二、请根据水污染防治重点任务,尽快将资金落实到具体项目,并于收到补助资金后4个月内将拟支持项目报生态环境部备案。各地要落实工作责任,加快推动项目实施,确保项目实施进度和实施效果符合要求。对已从中央基建投资等其他渠道获得中央财政资金支持的项目,不得纳入水污染防治资金支持范围。
三、请按照全面实施预算绩效管理有关要求,完善绩效目标管理,科学填报《水污染防治资金区域绩效目标申报表》,及时报我部和生态环境部,做好绩效监控和绩效评价,确保财政资金安全有效。请参照中央财政做法,将你省确定后的绩效目标及时对下分解,做好预算绩效管理工作。《水污染防治资金区域绩效目标申报表》和分解下达绩效目标要同时抄送财政部当地监管局。
四、水污染防治资金列入转移支付预算执行常态化监督范围,各级财政部门要在预算管理一体化系统及时接收登录预算指标,并保持“追踪”标识不变,依托预算管理一体化系统转移支付监控模块,加强日常监管,提高转移支付资金管理使用的规范性和有效性。
财 政 部
2025年10月31日

国际节能环保网声明:本文仅代表作者本人观点,与国际节能环保网无关,文章内容仅供参考。凡注明“来源:国际节能环保网”的所有作品,版权均属于国际节能环保网,转载时请署名来源。
本网转载自合作媒体或其它网站的信息,登载此文出于传递更多信息之目的,并不意味着赞同其观点或证实其描述。如因作品内容、版权和其它问题请及时与本网联系。

宿州市生态环境局 2天前
福州市生态环境局 3天前
中国政府采购网陕西分网 3天前
丽江市生态环境局 3天前
安徽省生态环境厅 2025-12-29
图片正在生成中...